散列
设散列表 H[] 容量 M=7,采用除留余数法(H(key) = key % M)确定地址,采用单向平方探测法解决冲突,即 H1 = (H(key) + 1^2 ) % M,H2 = (H(key) + 2^2 ) % M,……,Hk = (H(key) + k^2 ) % M,……。
现从空表开始依次插入关键码 {2010, 7, 4, 0},试给出生成的散列表。
H[]: 0 1 2 3 4 5 6
key: 7 2010 0 4
排序
对以下整型向量做就地堆排序,写出 Floyd 建堆法,以及各次迭代之后向量的内容。
rank : 0 1 2
vec[]: 16 2011 6
heap: 2011 16 6 iter1: 16 6 BBFABBA6;">2011 iter2: 6 BBFABBA6;">16 2011 iter3: BBFABBA6;">6 16 2011
图遍历
某有向图的邻接矩阵如下,现从顶点 1 出发做 DFS 遍历,遇多顶点歧义时编号小者优先。 试在右侧标出各边的分类结果(树边 T,前向边 F,后向边 B,跨边 C)

0 1 2 3 4
1 T T F
2 T
3 C
4 B
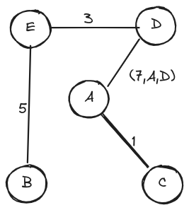
最小生成树
某无向网络及其邻接矩阵的上三角部分如下,现从顶点 A 出发采用 Prim 算法构造最小生成树,试在下三角区域标出树边及其被选用的次序。遇多边歧义时,按边端点合成数的字典序小者优先。

∞ A B C D E
A 9 1 7 7
B 7 5
C 7
D 3
E
∞ A B C D E A 9 1 7 7 B 7 5 C 1 7 D 7 3 E 5注意:其中在加入第二条边时,有 4 条边的优先级数均为 7,对应的合成数为 (7, A, D) < (7, A, E) < (7, C, B) < (7, C, D) 故 (A, D) 被优先引入

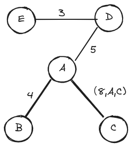
最短路径树
某无向网络及其邻接矩阵的上三角部分如下。现从顶点 A 出发采用 Dijkstra 算法构造最短路径生成树,试在下三角区域标出树边及其被选用的次序。遇多边歧义时,按边端点合成数的字典序小者优先。

∞ A B C D E
A 5 8 4 17
B 8 3
C 11
D 5
E
∞ A B C D E A 5 8 4 17 B 5 8 3 C 8 11 D 4 5 E 3注意:在加入第三条边时,有两条边的优先级数均为 8,此时合成数为 (8, A, C)<(8, B, E),故选择 (A, C)。
