判断
- 在对二进制串做匹配时,采用
next[]表比采用BC[]表通常效率更高。
✅正确答案:❌ 二进制串通常是随机的,Pr=0.5,此时 KMP 的效率反而更低。
- 所有叶节点深度一致的有根二叉树,必为满树。
❌ 叶节点的父亲的度数为 1,也可以满足深度一致的要求,但并不是满树
- 完全二叉树的子树,也一定是完全二叉树。
✅
- 由合法的先序遍历序列和中序遍历序列,可以唯一确定一棵二叉树。
✅
- 在 Huffman 算法过程中,权重小的内部节点必然早于权重大的内部节点被创建。
✅
- 由同一组互异关键码,按不同次序逐个插入而生成的 BST 必互异。
❌ 231 和 213
- BST 中新插入的节点,必是叶节点。
✅
- 在 AVL 树中删除节点之后若树高降低,则必然做过旋转调整。
✅正确答案:❌ 删除未导致失衡,也可能降低树高——即删除的节点在最底层,且该层只有一个节点。
多重选择
- 在( C )中,越深的节点必然越多。 A. 二叉树 B. AVL 树 C. 满二叉树 D. 完全二叉树 E. 以上皆非
A 太宽泛,只要能举出反例就能否决 B Fib-AVL 树最深层只有一个节点 D 完全二叉树最深层可能只有极少的叶节点
- 在包含 2010 个节点的 AVL 树中,最高与最低叶节点之间的深度差最大可达( E )。 A. 8 B. 9 C. 10 D. 11 E. 以上皆非
含有 n 个节点的 AVL 树与其高度 h 的关系是: ,而 fib (17)=1597, fib (18)=2584,所以 n=2010 时,h 为 17-3=14 而最高叶节点的深度不小于 h/2,最低叶节点的深度为 h,因此深度差应为 7.
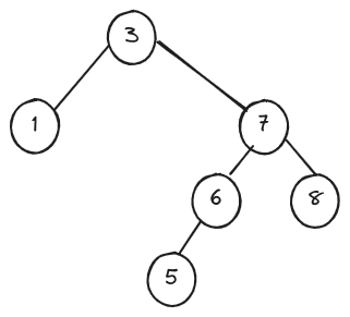
- 由 6 个节点组成的二叉树,若中序遍历序列为 ABCDEF,则不可能的后序遍历序列是( A, D )。 A. CBEADF B. ADFECB C. ABDECF D. BDACFE E. 以上皆非
后序遍历序列中最后一位一定是根节点,而根节点想做中序遍历序列的最后一位,一定是根节点只有左子树的情况 思路就是尝试组成一棵二叉树,出现悖论的就可选中: A 无法构成二叉树 B 可以构成:
C 可以构成:
D 无法构成
- 下图有可能是一棵刚做过 BST 的( A, D )操作,但尚未旋转调整的 AVL 树。 A. delete(2) B. insert(3) C. detele(4) D. insert(5) E. insert(8)
- 设 x 为某伸展树中的最大关键码,则在 find (x)过程中不可能实施( A, B, C )调整。 A. zig‐zig B. zig‐zag C. zag‐zig D. zag‐zag E. 以上皆非
伸展树最大关键码一定在沿着右侧链不变方向、直行到的最深处,因此此时抬升节点只能 zagzag,其余涉及到 zig 的动作,都不符合调整的拓扑要求。
填空
- 由 2010 个节点组成的完全二叉树,共有( 1005 )个叶节点。
2^10 - 1 = 1023 2^11 - 1 = 2047 第 11 层节点数:2^10=1024 (最多),现在有 2010-1023=987个 第 10 层节点数:2^9=512,因此第 10 层有叶子的节点数为 ,因此第 10 层的叶节点有 512-494=18个 因此总叶节点数=18+987=1005个
- 由 5 个互异节点组成、先序遍历序列与层次遍历序列相同的 BST,共有( 29 )棵。
- 在由 2010 个节点组成的二叉树中,若单分支节点不超过 10 个,则对其做迭代式中序遍历时辅助栈的容量为(
10051010 )即足够。
中序遍历辅助栈中元素数,即为当前节点在左链中的祖先数+当前节点右子树的左链长度。 而要使二叉树高度最大,形态应当如下:
- 由 2010 节点组成的 AVL 树,最大高度可达( 14 )。
含有 n 个节点的 AVL 树与其高度 h 的关系是:
- 在节点数为 2010 的 AVL 树中删除一节点,至多可能造成( 1 )个节点失衡,至多需做( 14 )次旋转调整。
Fib-AVL 树的高度是节点数一定时,AVL 可以达到的最大高度。
- 高度为 3 的 5 阶 B‐树,至多可存放( 124 )个关键码,至少需存放( 17 )个。
计算
- 计算以下模式串的 next、改进 next、BC表
j: 0 1 2 3 4 5 6
P[j]: B A R B A R A
next[]: -1 0 0 0 1 2 3
imp-next[]: -1 0 0 -1 0 0 3
BC[]: 3 6 5 3 6 5 6
j: 0 1 2 3 4 5 6 7 8 9 10 11 12 13 14 15
P[j]: T A R S O M E _ T A T A R S U S
next[]: -1 0 0 0 0 0 0 0 0 1 2 1 2 3 4 0
imp-next[]: -1 0 0 0 0 0 0 0 -1 0 2 0 0 0 4 0
BC[]: 10 11 12 15 4 5 6 7 10 11 10 11 12 15 14 15
这里 BC 表是错的,请阅读代码后重新填写(提示:注意 BC 表初始化时的值)
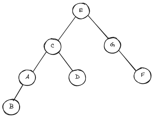
- 补全二叉树先序、后序遍历的序列
Preorder: E C _ B D _ F
Postorder: B A _ _ _ G _
preorder: E C A B D G F postorder: B A D C F G E 一种可能的二叉树拓扑图:
- 按如下算法遍历二叉树 T,试给出每次执行 PrintStack(S)的输出结果

StatusTraversal(Bintree T, Status (*Visit)(TElemType e)) {
Stack* S = StackInit(‐1);
while (true) {
GoAlongLeftBranch(S, T);
if (StackEmpty(S)) break;
PrintStack(S);//输出栈S中的内容
T = (Bintree) Pop(S);
Visit(T‐>data);
T = RChild(T);
}
StackDestroy(S);
return OK;
}
栈底 ⇐------PrintStack ()输出的内容-------⇒ 栈顶
- A B D
- A B
- A E H
- A E J
- A E
- A I
- A
- C F
- C
- G
- 不会到达这一步,在之前就会 break
本质上是一个中序遍历的迭代版本。
- 节点 x 的父节点和祖父节点分别记作 p 和 g。试在下图中补充尽可能少的节点以构造一棵 AVL 树,使得:
- 在摘除 x 之后,p 失衡;
- 经局部双旋调整之后,g 因失衡需再次实施双旋调整。
- 请同时在右侧画出最终恢复平衡的树形。


C 可以构成:
D 无法构成


