判断
- 使用容量为1009的辅助队列,足以对任一由2019个节点构成的二叉树做层次遍历。
❌ 习题 5-28:层次遍历辅助队列容量问题
- 只要辅助队列 Q 的容量不小于 ,就不致于中途出现溢出问题,但此题中 ,故会溢出。
- 由 2019 个无差别节点构成的真二叉树,与由 1009 对括号构成的合法表达式一样多。
✅ 2019 个节点的真二叉树中,叶子节点有 1010 个,内部节点 1009 个,因此其互异的形态数为 Catalan (1009); 而 1009对括号构成的合法表达式有 Catalan (1009)种,故正确。
- 无论是在 Turing Machine 模型还是 RAM 模型中,整数加法都属于基本运算,时间成本均可视作常数。
✅ 这两个模型是用来统计运行时间复杂度的,其中基本运算都是常数级,避免干扰整体的复杂度估算。
- 插入/选择排序后,逆序对不致增多;
✅
- 插入/选择排序后,循环节不致减少;
❌
- 习题 3-14:循环节:选择排序中无需交换的元素的数量
- 但是对插入排序,循环节数目与选择排序并不相似,而是恰好相反
- 同一棵二叉树的前序、中序、后序遍历序列中,叶子节点的相对次序必然完全一致。
✅ 对于叶节点,其左子树和右子树均为空,因此前、中、后序的遍历都不会继续递归下去,而是访问自身,而无论前中后哪种遍历,都是从二叉树最左下角的叶节点向右开始延伸、遍历。
- 调用栈中多帧可能对应同一函数的调用,且不一定紧密相邻;
[! note] ✅ 互相调用:
int f(x) { g(x--);} int g(x) { f(x--);}
- 最优 PFC 树交换深度不同的节点及其子树后,必然不是最优 PFC 树;
✅正确答案:❌
- 不考虑权重时,真完全树是最优 PFC 树;
- 但考虑权重时,交换深度不同的节点及其子树,有可能保持总代价不变;
选择
- 插入排序算法的( A, B, D )特点,是选择排序算法所不具备的。 A. 输入敏感性 B. 支持在线计算 C. 就地性 D. 最好情况下复杂度更低
选择排序对输入不敏感、不支持在线计算、最好情况也需要 的时间复杂度。
- 共有( B )种栈混洗方案,可使序列
<M,A,M,A,M,I,A]=A转换为B=[M,A,M,A,M,I,A>。 A. 6 B. 7 C. 8 D. 9
对 A 中序列从栈顶到栈底做标记,依次为 1、2、3、4、5、6、7,则考查辅助栈的出栈序列,有以下几种满足要求的序列: 1234567 1254367 1432567 3214567 3254167 3452167 5432167
-
函数调用栈按出栈顺序排列,恰好与二叉树的( C )遍历序列相同。 A. 先序 B. 中序 C. 后序 D. 层次
-
如果将二叉树中满足
x.size <= x.parent.size/2的非根节点 x 称作“轻节点”,那么在包含2019个节点的二叉树中,一个节点至多可能有( C )个轻的真祖先。 A. 9 B. 11 C. 8 D. 10
这个题比较复杂,轻节点与否是会动态变化的。
解答
RPN
试将常规表达式 (0!+1)*2^(3!+4)+5!/6*(7-8)-9 转化为逆波兰表达式:
0! 1 + 2 3! 4 + ^ * 5! 6 / 7 8 - * + 9 -
平均查找长度
设整数 e 随机取自 [0,25),调用 binSearchA(_elem,e,0,7) 对如下整型有序向量做查找:
k: 0 1 2 3 4 5 6
A[k]: 5 7 8 10 14 21 23
则失败情况下的平均查找长度、总体的平均查找长度各是多少?请简要列出推算依据。
复杂度排序
, , , , 1 2 3 4 5
试以渐进增长速度为序,将以上各函数 排序,在其序号间加上“<”或“=”:
4 < 3 < 5 < 2 < 1
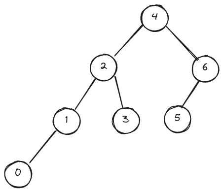
Fibonacci 树
所有内部节点均满足“左子树比右子树高一层”的二叉树,称作 Fibonacci 树。
- 试画出其中高度为4者,并从0开始按中序遍历次序对各节点编号;
- 试给出该树的层次遍历序列。
4 2 6 1 3 5 0
Related Search
我们知道,插值查找、二分查找、顺序查找分别适用于大、中、小规模的数据。当有序向量很长时,我们可以依次使用它们做接力式的查找。若在某系统中经测量确认,三种算法的时间复杂度常系数约为1280:64:1, 试估算出分别应在查找范围缩小到多大时切换算法(忽略复杂度的低次项、算法切换过程的时间消耗等因素)。
根据题意,插值查找的时间复杂度为 1280loglogn,二分查找时间复杂度为 64logn,顺序查找时间复杂度为 n。因此可以估计查找范围: 1280loglogn = 64logn → n=10
64logn = n → n=10
Failstone
Failstone (p, q){
while (p != q)
if (p > q) {
int r = q;
q = p;
p = r;
} else {
(q&1) ? p <<=1 : q >>= 1;
}
}
- 考察如上算法。对于 Failstone (5,13),试列出每次执行到第 2 行(循环入口)时 p 和 q 的数值(退出后留空):
0 1 2 3 4 5 6 7 8 9 10 11 12 13
p 5 10 20 7 7 7 2 4 8 1 1 1 1
q 13 13 13 20 10 5 7 7 7 8 4 2 1(退出)
- 试证明,该算法必然终止(不考虑整数溢出等因素)。
不会证。不过根据邓公的 PPT,通常步骤是: 单调性 + 不变性 + 找出观察量(通常是“周期”)
Queap 压缩
Queap 中原队列 Q 有对应的辅助队列 P,辅助队列用以存放 Q 的后缀的最大值,并且允许队尾插入和删除两种操作。对 P 进行压缩,得影子队列 P’

- 举例证明 P’最坏的空间复杂度仍可能为 O (n);(严格递减)
010101010… 串的影子队列的复杂度为
- 求
P'.size()的期望
盲猜 logn,但是不会证。
Optimal Memorization
采用“记忆化”技术,可将递归式 fib(n)算法的时间复杂度从 降低至 。 现假定只能使用常数容量的记忆表 M[],仅足以记忆 2m 个子问题的解,其余子问题依然需要进行递归。
- 为使计算 fib(n)所需的递归次数(渐进意义上)总体最少,应选择记忆哪 2m 个子问题的解( n >> m )?
习题 1-19:fib(k)二分递归实例出现次数问题 该题证明,对 fib 的递归实例 fib(k),其在计算过程中出现次数为 次,因此随着 k 的增加,出现次数逐渐降低。因此应当记忆越靠近底层的 fib 实例,越能减少所需递归次数。故应记忆 fib (2), fib (3),… fib (2m+1) 这 2m 个问题的解。
- 证明你的结论



