这一年只有回忆版,题目很不全,和官网样题合并一下。
简答
- “在线”算法与“脱机”算法有何区别?
前者可以实时地执行,不必等待所有数据或指令归位。 后者反之。
- 如何从 B-树中删除一个属于内部节点而非叶节点的关键码?
查找,删除,检测是否符合 B 树最小关键码数的要求,若不满足则分裂、下溢。
- 按照 Tarjan 的定义,由 n 个节点组成的伸展树所具有的最大势能是多少?这类树是什么姿势?
势能的公式定义如上,因此 n 个节点的最大势能为 这种姿态是单调互异的序列、依次插入 Splay Tree 中得到的,形态是一条单链。
Complexity
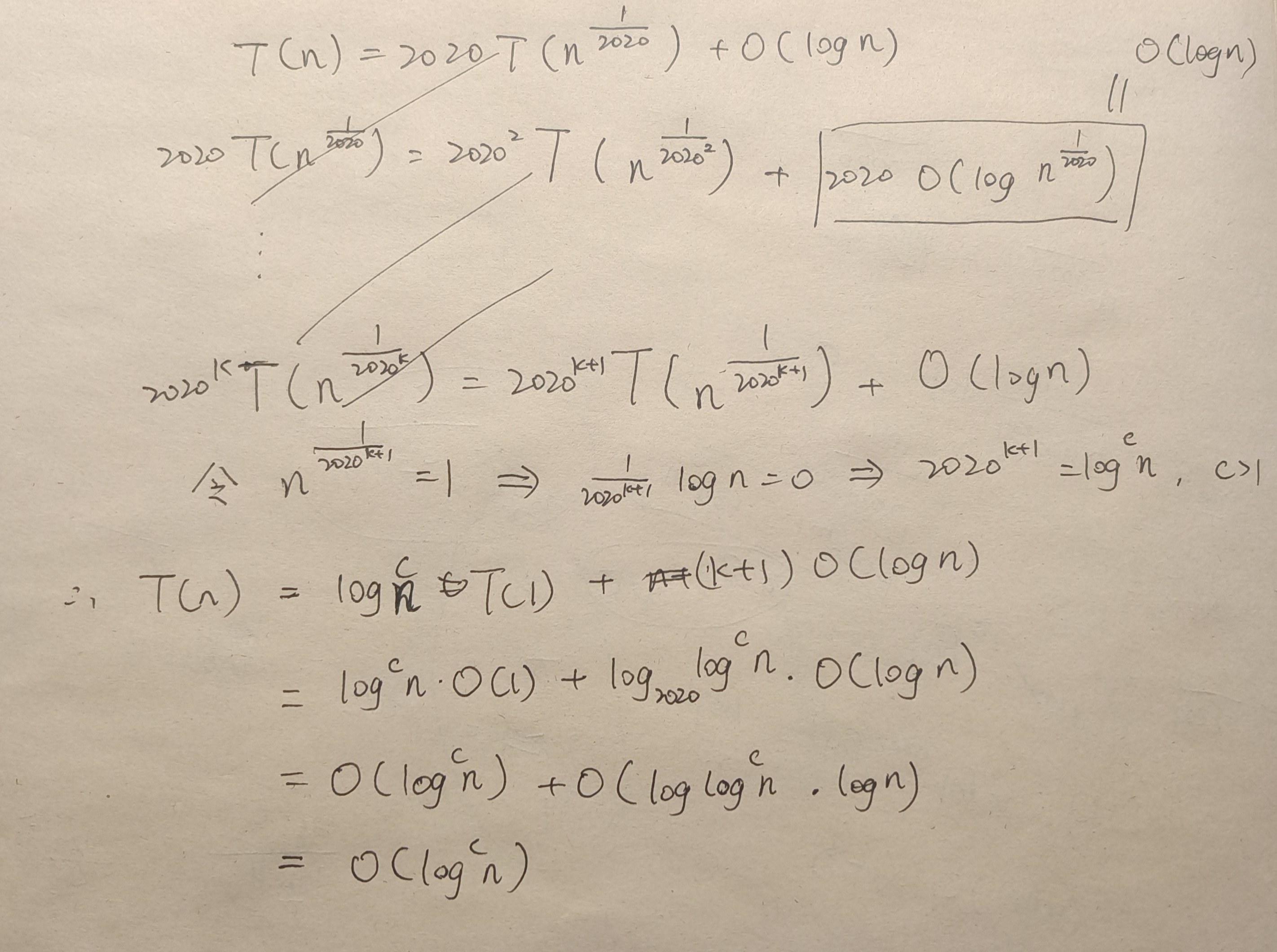
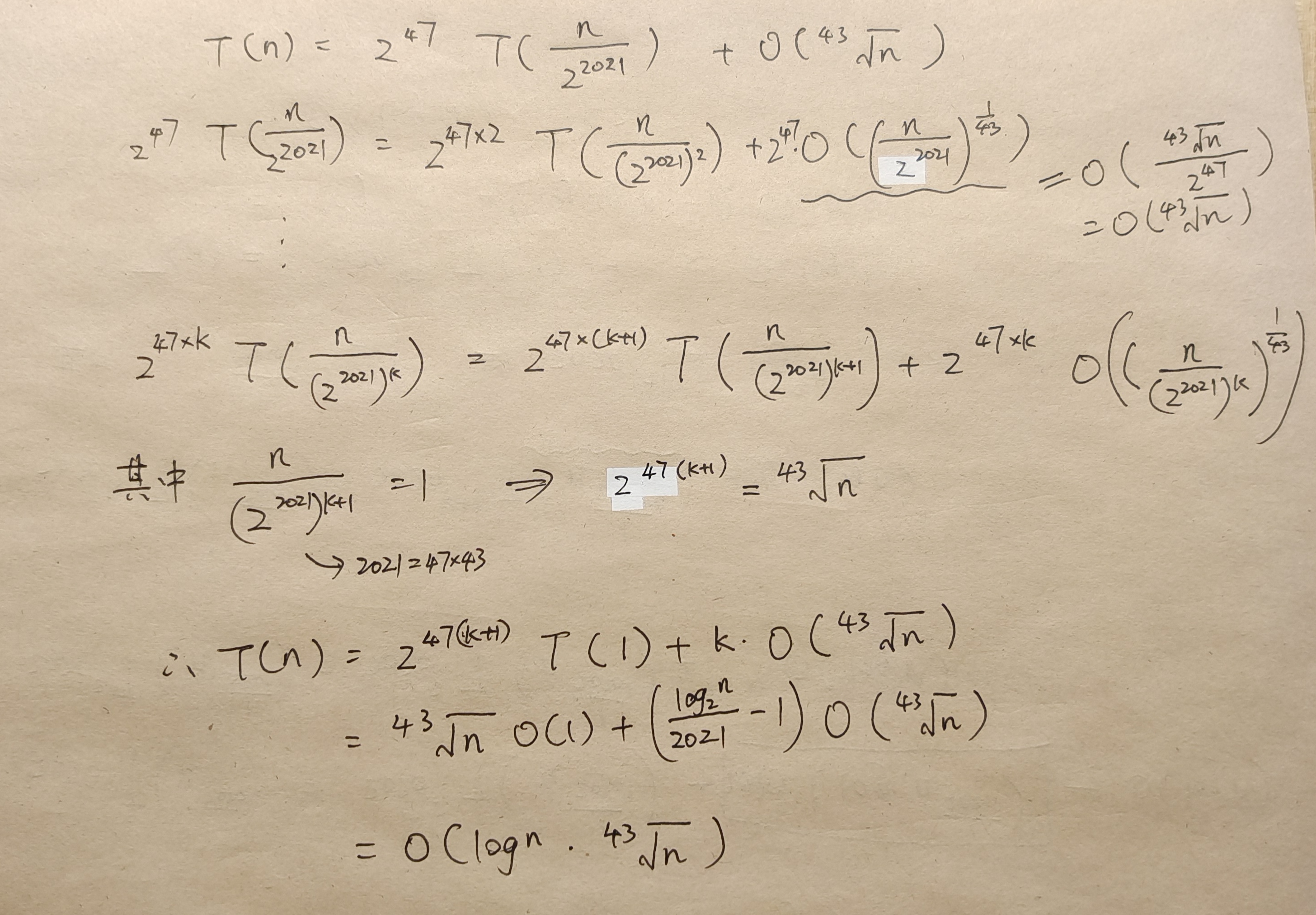
试给出如下 T(n)的解析解,并说明理由:
RPN
将中缀表达式 (0!+1)*2^(3!+4)-(5!/6+(7-(8-9))) 转换为RPN。
0! 1 + 2 3! 4 + ^ * 5! 6 / 7 8 9 - - + -
Hash table
- 一个容量 M=4079(素数)的哈希表,使用双向平方试探法,共插入了1231个词条,但在下一次插入时触发了 rehash 操作,问该哈希表此时的状态及 rehash 的原因。
4079 = 1019 * 4 + 3,因此双向平方试探可以填满整个哈希表,但是却发生了 rehash,说明装填因子高于 50%。
镜像地,删除操作时懒惰删除标记过多(超过 1/3 表长),则触发 rehash。指向原始笔记的链接template <typename K, typename V> bool Hashtable<K, V>::put( K k, V v ) { //散列表词条插入 if ( ht[ probe4Hit( k ) ] ) return false; //雷同元素不必重复插入 Rank r = probe4Free( k ); //为新词条找个空桶(只要装填因子控制得当,必然成功) ht[ r ] = new Entry<K, V>( k, v ); ++N; //插入 if ( removed->test( r ) ) removed->clear( r ); //懒惰删除标记 if ( (N + removed->size())*2 > M ) rehash(); //若装填因子高于50%,重散列 return true; }指向原始笔记的链接template <typename K, typename V> bool Hashtable<K, V>::remove( K k ) { //散列表词条删除算法 int r = probe4Hit( k ); if ( !ht[r] ) return false; //确认目标词条确实存在 release( ht[r] ); ht[r] = NULL; --N; //清除目标词条 removed->set(r); //更新标记、计数器 if ( removed->size() > 3*N ) rehash(); //若懒惰删除标记过多,重散列 return true; }
- 若采用“双向平方试探”策略的散列表长度取作 ,则关键码 0 及其同义词所对应的试探链可记作: 试问: 除 0 以外,还包含哪些试探位置?为什么?
{an} = {0,1,4,9,16,25,36,49,64,81,100,121,144,169,196,225,256,289,324,361,400,441,484,529,576,625,676,729,784,841,900,961,1024,1089,1156,1225,1296,1369,1444,1521,1600,1681,1764,1849,1936,}, {bn}={0,2020,2017,2012,2005,1996,1985,1972,1957,1940,1921,1900,1877,1852,1825,1796,1765,1732,1697,1660,1621,1580,1537,1492,1445,1396,1345,1292,1237,1180,1121,1060,997,932,865,796,725,652,577,500,421,340,257,172,85}
除 0之外,不包含相同的试探位置
KMP
给出下列模式串对应的 next[] 和改进后的 next[]。
j: 0 1 2 3 4 5 6 7 8 9 10 11 12
P[j]: C B C B A C D C B F B E A
next[j]: -1 0 0 1 2 0 1 0 1 2 0 0 0
imp-next[j]: -1 0 -1 0 2 -1 1 -1 0 2 0 0 0
B-Tree
- 2019 阶的 B 树 插入某关键码后树高增加,此时再次删除该关键码后树高一定降低? 给出证明或反例
否。
插入 22 后得到:
删除 22 后得到:
- 2019阶的 B 树 删除某关键码后树高降低,此时再次插入该关键码后树高一定增加? 给出证明或反例
否。
删除 35 得到:
插入 35 得到:
QuickSelect
quickselect (A, k)中,给定 n 个数并随机置乱得到(无序)序列 ,问
- 与 进行比较的概率(用 n, i, j, k 表示);
不会。
Red-black Tree
红黑树结构,如果不显式记录颜色,通过隐式记录应该如何操作?
所谓节点颜色,本质上黑高度有关,维护高度
SubTree
二叉树 S, T 给出算法在 内判断 S 是否为 T 中任一子树,节点只存了 rc, lc
- 给出算法大概思路
利用二叉树的遍历序列+ KMP 算法匹配。 中序遍历+先序遍历可以唯一的确定一棵二叉树,因此这种算法的复杂度为:
- 中序遍历 S 和 T:
- 先序遍历 S 和 T:
- 以 S 的中序遍历序列为模式串,在 T 的中序遍历序列中检查:
- 以 S 的先序遍历序列为模式串,在 T 的先序遍历序列中检查:
- 如果中序遍历序列和先序遍历序列的检查都成功,说明存在。
-
写出并说明你的算法
-
证明你的算法是对的
Geometric Series
在本课的学习中,曾出现过许多利用几何分布(算法执行到下一步停止的概率为 p)进行计算的实例,请举出 4 处并简要说明之。
- 跳转表的高度
- 模式匹配的暴力算法的性能分析
- 堆的上滤
- 快排中 pivot 的选择
Sort
长度为2020的序列仅能用交换进行排序,最坏情况下至少要交换几次? 为什么?
以循环节做考量,选择排序的思路就是选择 unsorted 区间内最大者,与 unsorted 区间的最后一个元素交换,使得 sorted 区间长度+1。
这反映在循环节的表现,即是 unsorted 区间的最大者 M 脱离所属的循环节,在sorted区间内自成一个单元素的循环节,而 M 原来的循环节长度-1。
初始时,sorted 区间长度为 0,其包含的单元素循环节数量也为 0,每一轮扫描、交换,都会使得 sorted 区间+1,同样地其中单元素循环节的数量也+1。迭代循环下去,直到最后一轮,一次交换使得 2个单元素循环节归位,因此总共至少需要交换 2020-1=2019次。
Reconstruction Binary Tree
// 由先序、中序遍历序列,重构一棵由n个节点组成的二叉树
BinNodePosi reconstruct( T pre[], T in[], int n ) {
if ( n < 1 ) return NULL;
k = search( pre[0], in, n ); //locate pre[0] in in[] by SEQUENTIAL search
return new BinNode(
pre[a], //key
reconstruct( , , ) //left subtree
reconstruct( , , ) //right subtree
);
}
-
试补全递归调用处缺失的参数;
-
设每次 search ()的返回值随机分布于
[0,n),试估计算法的期望时间复杂度。


插入 22 后得到:
删除 22 后得到:

删除 35 得到:
插入 35 得到:
